Modal Analysis of an Undamped Mass-Spring System

Purpose: Vibration is evident everywhere and greatly affects the nature of many engineering designs. Vibrational properties of engineering devices are often limiting factors in their performance. Examples include the motion of a guitar string, the ride quality of an automobile, the motion of an airplanes wings, and the swaying of a building due to wind or an earthquake. People are often initially terrified when they hear skyscrapers are designed to sway with the wind, and that the Burj Khalifa sways roughly 2 meters at the top floor. It does this to alleviate the forces from the wind. Aside from the weight issue, it is also why engineers use steel instead of just concrete; steel has flex to it. It feels a little unintuitive, but if a building were truly rigid it would crumble. Knowing the natural frequency of a system allows the engineer to properly account for its effects including resonance. The best way I’ve found to imagine this visually is a child on a swing. The child will swing back and forth at a natural frequency. To go higher, the parent would have to push the child close to their natural frequency. If the frequency closely matches what the child is already oscillating at, the child will go higher. The child experiences a greater amplitude by the frequency’s working constructively. To get the greatest amplitude, the parent would have to match this natural frequency. When matched perfectly the child experiences the greatest possible amplitude (resonance). Taking that idea from the macro to the microscopic level we can visualize a wine glass. It can’t be seen with the naked eye but the glass vibrates at a natural frequency, and when we match that natural frequency we cause resonance. With a great enough amplitude, the glass breaks. In this example, I will use ANSYS Mechanical to perform a modal analysis on an undamped 2DOF mass-spring system to find both natural frequencies of the system. A physical example of this model would be a simple two-story building.

Undamped 2DOF mass-spring system

Mode Shape #1 = 0.1668 Hz: Constructive

Mode Shape #2 = 0.3868 Hz: Deconstructive

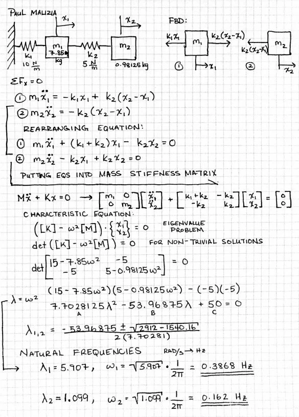
Verification & Validation:

Hand calculation solving for both natural frequencies of the system

Conclusion: ANSYS Mechanical modal analysis is a great tool for simulating vibration problems. Although the problem was simple enough to solve via hand calculation, I feel much more comfortable setting up my model for more complex systems where the matrix would be too large to compute without simulation.

Skyscraper in Hong Kong swaying due to heavy wind

Previous
Previous

Stress Analysis of an L-Bracket + Topology Optimization

Next
Next

Computational Fluid Dynamics Flow Over a Cylinder